题目内容
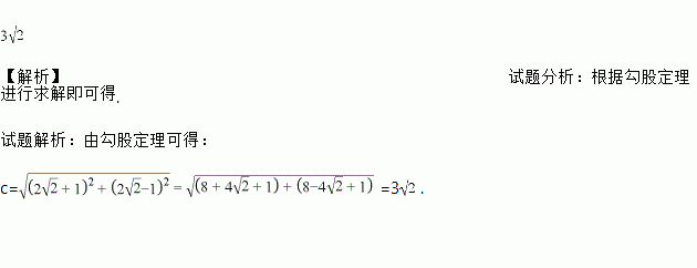
已知直角三角形的两条直角边的长分别为2+1和2-1,求斜边c的长.
当m=_______________时,函数y=(m-2)x m+1 是二次函数.
如图,已知正方形ABCD中,AE∥BD,BE=BD,BE交AD于F. 求证:DE=DF.
如图,已知矩形OABC,A(4,0),C(0,3),动点P从点A出发,沿A﹣B﹣C﹣O的路线勻速运动,设动点P的运动时间为t,△OAP的面积为S,则下列能大致反映S与t之间关系的图象是( )
A. B. C. D.
由于过度采伐森林和破坏植被,我国部分地区频频遭受沙尘暴侵袭.近日A城气象局测得沙尘暴中心在A城的正西方向240km的B处(如图),以每小时12km的速度向北偏东60°方向移动.距沙尘暴中心150km的范围为受影响区域.
(1)A城是否受到这次沙尘暴的影响?为什么?
(2)若A城受这次沙尘暴的影响,那么A城遭受沙尘暴的影响时间有多长?
已知和互为相反数,则以x,y,z为三边长的三角形是_________ 三角形.
如图所示:是一段楼梯,高BC是3m,斜边AC是5m,如果在楼梯上铺地毯,那么至少需要地毯( )
A.5m B.6m C.7m D.8m
计算:
将方程x2-6x+3=0左边配成完全平方式,得到的方程是( )
A. (x-3)2=-3 B. (x-3)2=6 C. (x-3)2=3 D. (x-3)2=12