题目内容
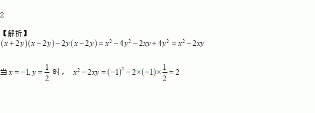
先化简再求值:(x+2y)(x-2y)-2y(x-2y),其中x=-1,y=.
如图,AB∥CD, EF⊥CD于点F,若∠ABE=35°,则∠BEF=________。
已知AM∥CN,点B为平面内一点,AB⊥BC于B.
(1)如图1,直接写出∠A和∠C之间的数量关系________;
(2)如图2,过点B作BD⊥AM于点D,求证:∠ABD=∠C;
(3)如图3,在(2)问的条件下,点E、F在DM上,连接BE、BF、CF,BF平分∠DBC,BE平分∠ABD,若∠FCB+∠NCF=180°,∠BFC=3∠DBE,求∠EBC的度数.
某商店举办促销活动,促销的方法是将原价元的衣服以(-10) 元出售,则下列说法中,能正确表达该商店促销方法的是
A. 原价减去10元后再打6折 B. 原价打6折后再减去10元
C. 原价减去10元后再打4折 D. 原价打4折后再减去10元
在平面直角坐标系中,点P(,1 )在( )
A. 第一象限 B. 第二象限 C. 第三象限 D. 第四象限
若,则=__________.
下列各式中不能用平方差公式计算的是( )
A. B.
C. D.
在一个不透明的口袋里有红、黄、蓝三种颜色的小球,这些球除颜色外不相同,其中有5个黄球,4个蓝球.若随机摸出一个蓝球的概率为,则随机摸出一个红球的概率为_______________.
如图,下列关于数m、n的说法正确的是
A. B. C. D.