题目内容
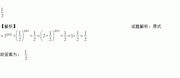
22015×()2016=________
的算术平方根是________.
若10m=5,10n=3,则102m+3n= .
【答案】675.
【解析】102m+3n=102m?103n=(10m)2?(10n)3=52?33=675,
故答案为:675.
点睛:此题考查了幂的乘方与积的乘方, 同底数幂的乘法. 首先根据同底数幂的乘法法则,可得102m+3n=102m×103n,然后根据幂的乘方的运算方法,可得102m×103n=(10m)2×(10n)3,最后把10m=5,10n=2代入化简后的算式,求出102m+3n的值是多少即可.
【题型】填空题【结束】17
当a =_____时,分式的值为-4.
(1)若1表示的点与﹣1表示的点重合,则﹣2表示的点与数 表示的点重合;
(2)若﹣1表示的点与3表示的点重合,5表示的点与数 表示的点重合;
(3)若数轴上A、B两点之间的距离为c个单位长度,点A表示的有理数是a,并且A、B两点经折叠后重合,请写出此时折线与数轴的交点表示的有理数是多少?
如图,直角三角形ABC中,∠C=90°,若AC=3cm,BC=4cm,AB=5cm,则点C到AB的最短距离等于________cm。
五个有理数中有三个是负数,则这五个数的积为( )
A. 负数 B. 正数 C. 非负数 D. 非正数
如图,数轴上A点表示的数减去B点表示的数,结果是( )
A. 8 B. -8 C. 2 D. -2
关于如图所示的统计图中(单位:万元),正确的说法是( )
A. 第一季度总产值4.5万元
B. 第二季度平均产值6万元
C. 第二季度比第一季度增加5.8万元
D. 第二季度比第一季度增长33.5%
如图,一位同学想利用树影测量树高(AB),他在某一时刻测得高为1m的竹竿影长为0.9m,但当他马上测量树影时,因树靠近一幢建筑物,影子不全落在地面上,有一部分影子在墙上(CD),他先测得留在墙上的影高(CD)为1.2m,又测得地面部分的影长(BC)为2.7m,他测得的树高应为多少米?