题目内容
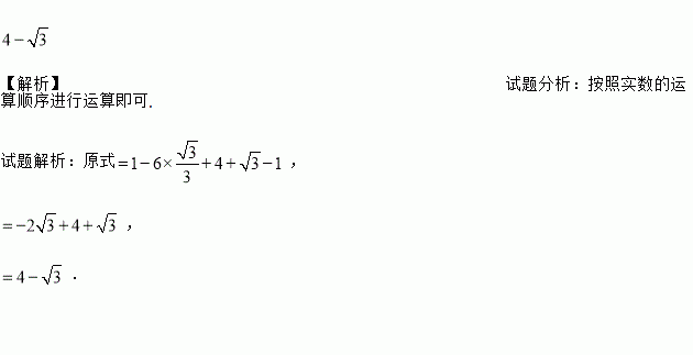
计算: .
抛物线y=x2﹣4x+3的顶点坐标为_____.
在直角梯形ABCD中,AB∥CD,∠DAB=90°,AB=12,DC=7,cos∠ABC=,点E在线段AD上,将△ABE沿BE翻折,点A恰巧落在对角线BD上点P处,那么PD=_____.
在下列各式中,二次单项式是( )
A. B. C. D.
如图,点O是△ABC内一点,连结OB、OC,并将AB、OB、OC、AC的中点D、E、F、G依次连结,得到四边形DEFG.
()求证:四边形DEFG是平行四边形.
()如果, , ,求的长.
如图, 为⊙的弦, 于点.若, ,则⊙的半径长为__________.
如图,在平行四边形中, , , 和的平分线交于点,则的长为( )
如图,在矩形ABCD中,AB=3,BC=4,O为矩形ABCD的中心,以D为圆心1为半径作⊙D,P为⊙D上的一个动点,连接AP、OP,则△AOP面积的最大值为( )
A. 4 B. C. D.
计算: ﹣sin60°﹣tan30°.