题目内容
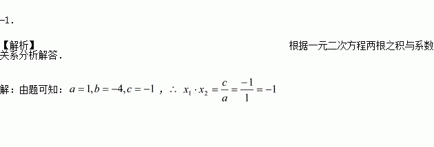
已知方程x2﹣4x﹣1=0的两个根分别为x1,x2,则x1•x2=__________;
练习册系列答案
相关题目
(5分)(2015春•鞍山期末)小王某月手机话费中的各项费用统计情况见下列图表,请你根据图表信息完成下列各题:
项目 | 月功能费 | 基本话费 | 长途话费 | 短信费 |
金额/元 | 5 | 50 |
|
|
(1)请将表格补充完整;
(2)请将条形统计图补充完整;
(3)扇形统计图中,表示短信费的扇形的圆心角是多少度?
![]()
题目内容
已知方程x2﹣4x﹣1=0的两个根分别为x1,x2,则x1•x2=__________;
(5分)(2015春•鞍山期末)小王某月手机话费中的各项费用统计情况见下列图表,请你根据图表信息完成下列各题:
项目 | 月功能费 | 基本话费 | 长途话费 | 短信费 |
金额/元 | 5 | 50 |
|
|
(1)请将表格补充完整;
(2)请将条形统计图补充完整;
(3)扇形统计图中,表示短信费的扇形的圆心角是多少度?
![]()