题目内容
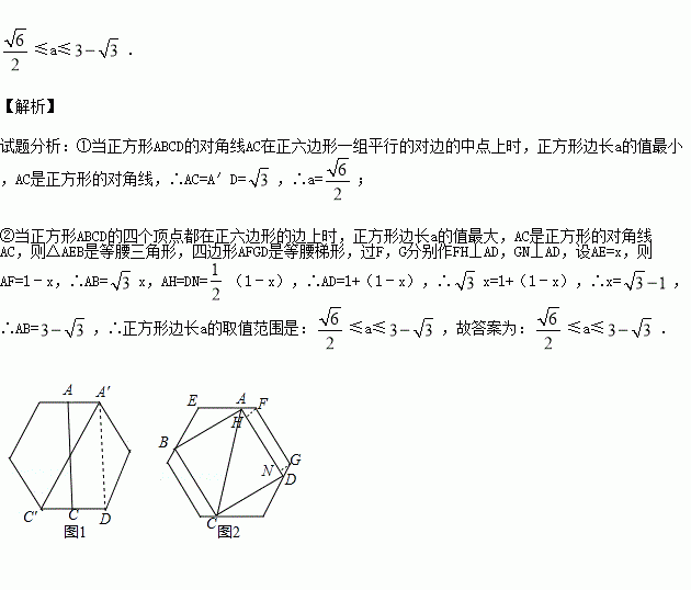
如图,有一个边长不定的正方形ABCD,它的两个相对的顶点A,C分别在边长为1的正六边形一组平行的对边上,另外两个顶点B,D在正六边形内部(包括边界),则正方形边长a的取值范围是 .
某班体育委员对本班学生一周锻炼时间(单位:小时)进行了统计,绘制了如图所示的折线统计图,则该班这些学生一周锻炼时间的中位数是 小时.
(本题12分)小黄准备给长8m,宽6m的长方形客厅铺设瓷砖,现将其划分成一个长方形ABCD区域Ⅰ(阴影部分)和一个环形区域Ⅱ(空白部分),其中区域Ⅰ用甲、乙、丙三种瓷砖铺设,且满足PQ∥AD,如图所示.
(1)若区域Ⅰ的三种瓷砖均价为300元/,面积为(),区域Ⅱ的瓷砖均价为200/,且两区域的瓷砖总价为不超过12000元,求的最大值;
(2)若区域Ⅰ满足AB:BC=2:3,区域Ⅱ四周宽度相等
①求AB,BC的长;
②若甲、丙两瓷砖单价之和为300元/,乙、丙瓷砖单价之比为5:3,且区域Ⅰ的三种瓷砖总价为4800元,求两瓷砖单价的取值范围.
温州某企业车间有50名工人,某一天他们生产的机器零件个数统计如下表:
零件个数(个)
5
6
7
8
人数(人)
3
15
22
10
表中表示零件个数的数据中,众数是( )
A.5个 B.6个 C.7个 D.8个
家庭过期药品属于“国家危险废物”,处理不当将污染环境,危害健康.某市药监部门为了解市民家庭处理过期药品的方式,决定对全市家庭作一次简单随机抽样调査.
(1)下列选取样本的方法最合理的一种是 .(只需填上正确答案的序号)
①在市中心某个居民区以家庭为单位随机抽取;②在全市医务工作者中以家庭为单位随机抽取;③在全市常住人口中以家庭为单位随机抽取.
(2)本次抽样调査发现,接受调査的家庭都有过期药品,现将有关数据呈现如图:
①m= ,n= ;
②补全条形统计图;
③根据调査数据,你认为该市市民家庭处理过期药品最常见的方式是什么?
④家庭过期药品的正确处理方式是送回收点,若该市有180万户家庭,请估计大约有多少户家庭处理过期药品的方式是送回收点.
因式分【解析】= .
有五名射击运动员,教练为了分析他们成绩的波动程度,应选择下列统计量中的( )
A.方差 B.中位数 C.众数 D.平均数
分解因式: .
袋中装有大小相同的3个绿球、3个黑球和6个蓝球,闭上眼睛从袋中摸出一个球,以下6个事件:
①摸出的球的颜色为绿色;
②摸出的球的颜色为白色;
③摸出的球的颜色为蓝色;
④摸出的球的颜色为黑色;
⑤摸出的球的颜色为黑色或绿色;
⑥摸出的球的颜色为蓝色、黑色或绿色.
将它们发生的可能性按从小到大的顺序在数轴上排序.