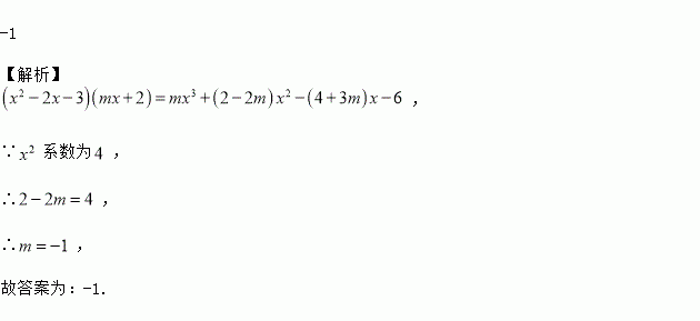
题目内容
多项式
与
的乘积化简后
项的系数是
,则
__________.
练习册系列答案
相关题目
随着北京公交票制票价调整,公交集团更换了新版公交站票,乘客在乘车时可以通过新版公交站牌计算乘车费用,新版站牌每一个站名上方都有一个相应的数字,将上下车站站名所对应数字相减取绝对值就是乘车路程,再按照其所在计价区段,计算票价.规则如下表:
乘车路程计价区段 | 0-10 | 11-15 | 16-20 | - |
对应票价(元) | 2 | 3 | 4 | - |
另外,一卡通刷卡实行5折优惠,小明用一卡通乘车上车时站名上对应的数字是5,下车时站名上对应的数字是22,那么小明乘车的费用是
A. 1.5元 B. 2元 C. 3.5元 D. 4元
B 【解析】试题解析:因为小明乘车的路程是:22-5=17, 所以小明乘车的费用是: 4×0.5=2(元). 故选A.