题目内容
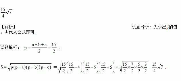
海伦—秦九韶公式:如果一个三角形三边长分别为a,b,c,设,则三角形的面积为,用公式计算下图三角形的面积.
某公司向银行申请了甲 、乙两种贷款,共计68万元,每年需付出8.42万元利息。已知甲种贷款每年的利率为12%,乙种贷款每年的利率为13%,则该公司甲、乙两种贷款的数额分别为_.
下列两点中,关于y轴对称的是( )
A. (1,-3)和(-1,3) B. (3,-5)和(-5,3) C. (5,-4)和(5,4) D. (-2,4)和(2,4)
如图,直角△ADB中,∠D=90°,C为AD上一点,且∠ACB的度数为(5x-10)°,则x的值可能是
A. 10 B. 20
C. 30 D. 40
试通过画图来判定,下列说法正确的是( )
A. 一个直角三角形一定不是等腰三角形 B. 一个等腰三角形一定不是锐角三角形
C. 一个钝角三角形一定不是等腰三角形 D. 一个等边三角形一定不是钝角三角形
已知a,b,c为三角形的三边,则=_________.
=__________
先化简,再求值.,其中.
下列计算正确的是( )
A. (x3)2=x6 B. x2·x3=x6 C. x+x2=x3 D. x6÷x3=x2