题目内容
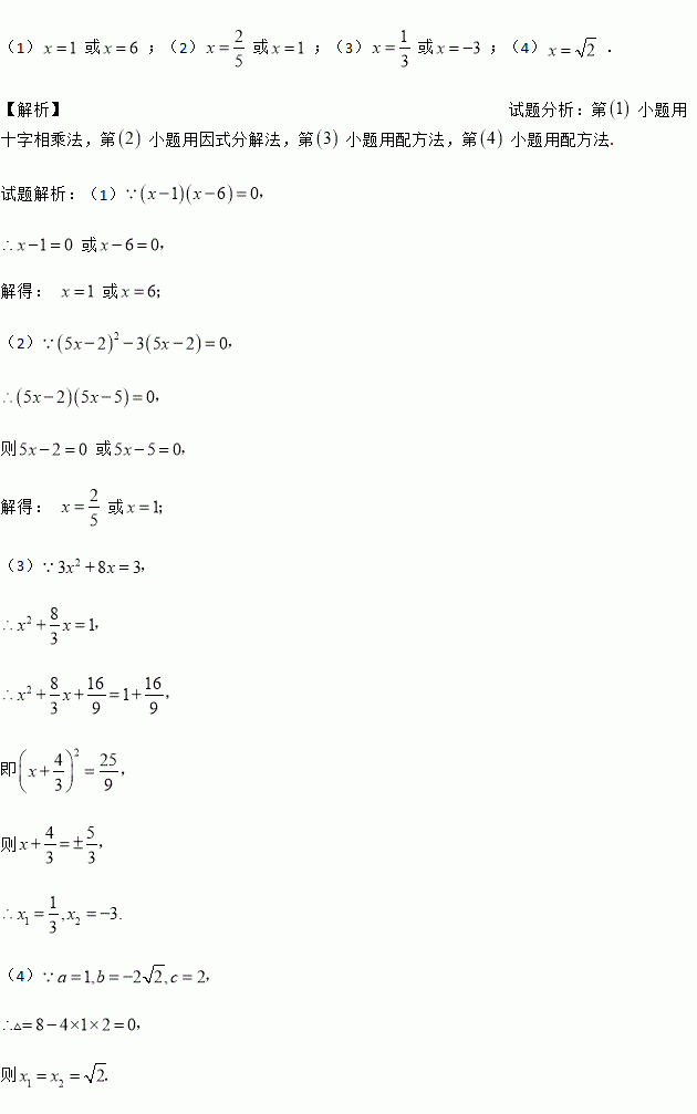
解方程
(1)x2﹣7x+6=0
(2)(5x﹣2)2=3(5x﹣2)
(3)3x2+8x﹣3=0(用配方法)
(4)x2﹣2x+2=0(用公式法)
如图:小亮从A点出发,沿直线前进10米后向左转30度,再沿直线前进10米,又向左转30度,??照这样走下去,他第一次回到出发点A点时,一共走了______米?
下列说法中正确的是( )
A. 0既不是整数也不是分数 B. 整数和分数统称有理数
C. 一个数的绝对值一定是正数 D. 绝对值等于本身的数是0和1
点在第__________象限;
如图,△ABC中,∠C=90°,AC=3cm,BC=4cm,动点P从点B出发以2cm/s的速度向点C移动,同时动点Q从C出发以1cm/s的速度向点A移动,设它们的运动时间为t.
(1)t为何值时,△CPQ的面积等于△ABC面积的?
(2)运动几秒时,△CPQ与△CBA相似?
(3)在运动过程中,PQ的长度能否为1cm?试说明理由.
把一个转盘分成6等份,分别是红、黄、蓝、绿、白、黑,转动转盘两次,两次均是红色的概率是:_____.
已知一元二次方程mx2+n=0(m≠0),若方程有解,则必须( )
A. n=0 B. mn同号 C. n是m的整数倍 D. mn异号
已知抛物线y=x2﹣2x﹣8与x轴的两个交点为A,B(A在左边),且它的顶点为P.
(1)求A、B两点的坐标
(2)求△PAB的面积.
甲乙两人同时同地沿同一路线开始攀登一座600米高的山,甲的攀登速度是乙的1.2倍,他比乙早20分钟到达顶峰.甲乙两人的攀登速度各是多少?如果山高为米,甲的攀登速度是乙的倍,并比乙早分钟到达顶峰,则两人的攀登速度各是多少?