题目内容
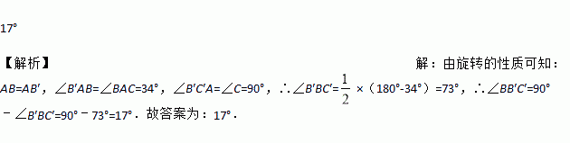
如图,将Rt△ABC绕点A逆时针旋转34°,得到Rt△AB′C′,点C′恰好落在斜边AB上,连接BB′,则∠BB′C′的度数为__________.
![]()
练习册系列答案
相关题目
某中学为筹备校庆活动,准备印制一批校庆纪念册。该纪念册每册需要10张8K大小的纸,其中4张为彩页,6张为黑白页。印制该纪念册的总费用由制版费和印刷费两部分组成,制版费与印数无关,价格为:彩页300元/张,黑白页50元/张;印刷费与印数的关系见下表。
印数a (单位:千册) | 1≤a<5 | 5≤a<10 |
彩色 (单位:元/张) | 2.2 | 2.0 |
黑白(单位:元/张) | 0.7 | 0.6 |
①印制这批纪念册的制版费为 元;
②如果印制2千册,则共需费用 元;
③如果该校希望印数至少为4千册,总费用至多为60000元,求印数的取值范围。(精确到0.01千册)
①1500元②27500 元③5.00≤a≤5.04(千册) 【解析】 试题分析:①制版费=4×300+6×50=1500(元) ②总费用=2000(4×2.2+6×0.)+1500=27500 元 ③(1)当4000≤a<5000时(4×2.2+6×0.7)a+1500≤60000 4.00≤a≤4.50(千册) (2)当5000≤a<10000时(4×2+6...