题目内容
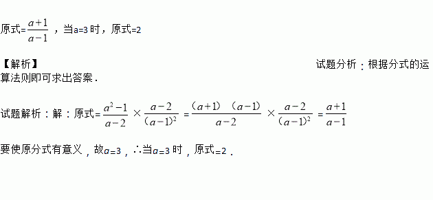
先化简()÷,然后从1、2、3中选取一个你认为合适的数作为a的值代入求值.
计算:(1)+ (2)|-2|-
如图,在是AC上的一点,与分别切于点,与AC相交于点E,连接BO.
求证:
若,则______,______;
如图,,下列结论:;;;,其中正确的结论有
A. B. C. D.
如图,∠ACB=90°,AC=BC,BE⊥CE于E,AD⊥CE于D,BE=3cm,AD=9cm.
求:(1)DE的长;
(2)若CE在△ABC的外部(如图),其它条件不变,DE的长是多少?
如图,∠ABD=76°,∠C=38°,BC=30cm,则BD的长为_____.
如图,AB∥CD,BC∥AD,AB=CD,BE=DF,图中全等的三角形的对数是( )
A. 3 B. 4 C. 5 D. 6
如图,在已知的△ABC中,按以下步骤作图:①分别以B,C为圆心,以大于BC的长为半径作弧,两弧相交于两点M,N;②作直线MN交AB于点D,连接CD,若CD=AC,∠B=25°,则∠ACB的度数为( )
A. 105° B. 100° C. 95° D. 90°
甲乙两名同学做摸球游戏,他们把三个分别标有1,2,3的大小和形状完全相同的小球放在一个不透明的口袋中.
(1)求从袋中随机摸出一球,标号是1的概率;
(2)从袋中随机摸出一球后放回,摇匀后再随机摸出一球,若两次摸出的球的标号之和为偶数时,则甲胜;若两次摸出的球的标号之和为奇数时,则乙胜;试分析这个游戏是否公平?请说明理由.