题目内容
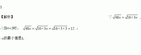
已知n是一个正整数, 是整数,则n的最小值是______ .
若∠A=12°12′,∠B=20°15′30″,∠C=20.25°,则( )
A. ∠A>∠B>∠C B. ∠B>∠C>∠A C. ∠A>∠C>∠B D. ∠C>∠A>∠B
因式分解:(1) (2)
一个多边形内角和是1080°,则这个多边形是( )
A. 五边形 B. 六边形 C. 七边形 D. 八边形
分式的值可能等于吗?为什么?
科学家发现一种病毒的长度约为0.000043mm,科学记数法表示0.000043的结果为_______.
若分式的值为0,则( )
A. B. C. D.
下列说法:①-a是负数;②一个数的绝对值一定是正数;③一个有理数不是正数就是负数;④平方等于本身的数是0和1.其中正确的是________.
如图所示,△ABC的顶点分别为A(-4, 5),B(﹣3, 2),C(4,-1).
⑴作出△ABC关于x轴对称的图形△A1B1C1;
⑵写出A1、B1、C1的坐标;
⑶若AC=10,求△ABC的AC边上的高.