题目内容
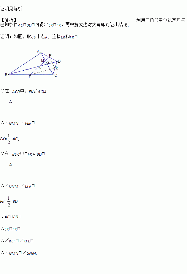
已知:ABCD是凸四边形,且AC<BD,E、F分别是AD、BC的中点,EF交AC于M、交BD于N,AC和BD交于点G。求证:∠GMN>∠GNM。
某种气球内充满了一定质量的气体,当温度不变时,气球内气体的气压p(kPa)是气球体积V的反比例函数,其图象如图所示,当气球内的气压大于120kPa时,气球将爆炸.为了安全,气球的体积应该( ).
A. 不大于m3 B. 小于m3 C. 不小于m3 D. 小于m3
如图,已知AB是⊙O的弦,半径OA=2,OA和AB的长度是关于x的一元二次方程x2﹣4x+a=0的两个实数根.
(1)求弦AB的长度;
(2)计算S△AOB;
(3)⊙O上一动点P从A点出发,沿逆时针方向运动一周,当S△POA=S△AOB时,求P点所经过的弧长(不考虑点P与点B重合的情形).
下列计算结果正确的是( )
A. B. C. D.
已知关于x的方程mx2+(3m+1)x+3=0(m≠0).
(1)求证:方程总有两个实数根;
(2)若方程的两个实数根都是整数,求正整数m的值;
(3)在(2)的条件下,将关于的二次函数y= mx2+(3m+1)x+3的图象在x轴下方的部分沿x轴翻折,图象的其余部分保持不变,得到一个新的图象,请结合这个新的图象回答:当直线y=x+b与此图象有两个公共点时,b的取值范围.
如图,矩形ABCD中,AB=3,BC=5,点P是BC边上的一个动点(点P不与点B,C重合),现将△PCD沿直线PD折叠,使点C落在点C′处;作∠BPC′的平分线交AB于点E. 设BP=x,BE=y,那么y关于x的函数图象大致应为( )
A. A B. B C. C D. D
如图,在Rt△ABC中,∠B=90°,AB=3,BC=4,点D在BC上,以AC为对角线的?ADCE中,DE最小的值是________.
如图,在四边形ABCD中,∠B=∠D,∠1=∠2,求证:四边形ABCD是平行四边形.
(1)解方程: .
(2)解不等式组: