题目内容
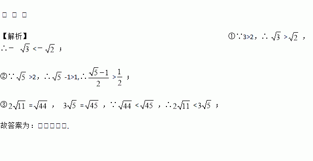
比较下列实数的大小(填上>、<或=).
①-_____-;②_____;③______.
如图,下列条件能保证△ABC≌△ADC的是:①AB=AD,BC=DC;②∠1=∠3,∠4=∠2;③∠1=∠2,∠4=∠3;④∠1=∠2,AB=AD;⑤∠1=∠2,BC=DC.( )
A. ①②③④⑤ B. ①②③④ C. ①③④ D. ①③④⑤
如图,由五个小正方体组成的几何体中,若每个小正方体的棱长都是1,则该几何体的主视图和左视图的面积之和是________.
如图是一个由3个相同的正方体组成的立体图形,则它的主视图为( )
A. B. C. D.
.
若a>1,则a,﹣a,从大到小排列正确的是( )
A. a>﹣a> B. a>>﹣a C. >﹣a>a D. >﹣a>a>
已知x=是方程的解,求代数式的值.
下列运用等式的基本性质的变形不正确的是( )
A. 若x=y,则x-a=y-a B. 若x-y=0,则-x=-y C. 若x=-y,则-x-5=y-5 D. 若x=1,则x=
若是关于a,b的二元一次方程ax+ay-b=7的一个解,则代数式x2+2xy+y2-1的值是_________.