题目内容
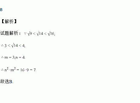
若m<<n,且m、n为连续正整数,则n2﹣m2的值为( )
A. 5 B. 7 C. 9 D. 11
若关于x的一元二次方程ax2+(2a﹣1)x﹣2=0 的两根相等,那么a等于( )
A. ﹣0.5 B. 0.5 C. 0.5或﹣0.5 D. ﹣0.5或0
若分式的值为零,则m,n满足的条件是_____.
我市某超市举行店庆活动,对甲、乙两种商品实行打折销售。打折前,购买3件甲商品和1件乙商品需用190元;购买2件甲商品和3件乙商品需用220元。而店庆期间,购买10件甲商品和10件乙商品仅需735元,这比不打折少花多少钱?
如图,AD是∠EAC的平分线,AD∥BC,∠B=30°,则∠C=___________.
下列说法中,正确的是( )
A. “相等的角是对顶角”不是命题
B. “同旁内角互补”是假命题
C. “三角形的两边之和大于第三边”是定义
D. 16的平方根是4
如图,在数轴上有三个点A,B,C,回答下列问题:
(1)若将点B向右移动6个单位后,三个点所表示的数中最小的数是多少?
(2)在数轴上找一点D,使点D到A,C两点的距离相等,写出点D表示的数;
(3)在点B左侧找一点E,使点E到点A的距离是到点B的距离的2倍,并写出点E表示的数.
某公司在海边建发电站,电站年均发电量约为2130000000度,将数据2130000000用科学记数法表示为( )
A. 213×106 B. 21.3×107 C. 2.13×108 D. 2.13×109
三角形的两边长分别为3米和6米,第三边的长是方程x2﹣6x+8=0的一个根,则这个三角形的周长为( )
A. 11 B. 12 C. 11或 13 D. 13