题目内容
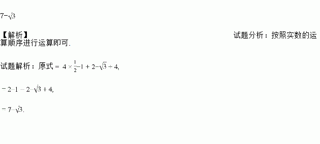
计算: ![]()
练习册系列答案
相关题目
下表记录了甲、乙、丙、丁四名射击运动员最近几次选拔赛成绩的平均数和方差:
甲 | 乙 | 丙 | 丁 | |
平均数 | 9.14 | 9.15 | 9.14 | 9.15 |
方差 | 6.6 | 6.8 | 6.7 | 6.6 |
根据表中数据,要从中选择一名成绩好且发挥稳定的运动员参加比赛,应选择_________.
题目内容
计算: ![]()
下表记录了甲、乙、丙、丁四名射击运动员最近几次选拔赛成绩的平均数和方差:
甲 | 乙 | 丙 | 丁 | |
平均数 | 9.14 | 9.15 | 9.14 | 9.15 |
方差 | 6.6 | 6.8 | 6.7 | 6.6 |
根据表中数据,要从中选择一名成绩好且发挥稳定的运动员参加比赛,应选择_________.