题目内容
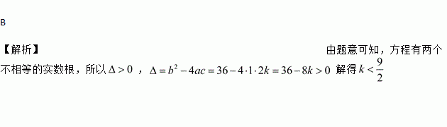
关于x的一元二次方程x2﹣6x+2k=0有两个不相等的实数根,则实数k的取值范围是( )
A. k≤ B. k< C. k≥ D. k>
(2015秋•江阴市期中)如图,一个上方无盖的长方体盒子紧贴地面,一只蚂蚁由盒外A处出发,沿着盒子面爬行到盒内的点B处,已知,AB=9,BC=9,BF=6,这只蚂蚁爬行的最短距离是 .
如图,某同学把一块三角形的玻璃打碎成了三块,现在要到玻璃店去配一块完全一样的玻璃,那么最省事的办法是( )
A. 带①去 B. 带②去 C. 带③去 D. 带①和②去
如图,将△ABC绕点P顺时针旋转90°得到△A′B′C′,则点P的坐标是_____.
方程2x2﹣1=x的二次项系数是_____,一次项系数是_____,常数项是_____.
在图中填上恰当的数,使每一行、每一列、每一条对角线上的3个数的和都是0.
求x的值:
(1)(2x﹣1)2=25;
(2)3(x﹣4)3=﹣375.
如果点A(x,y)在第三象限,则点B(﹣x,y﹣1)在( )
A. 第一象限 B. 第二象限 C. 第三象限 D. 第四象限
计算: 的平方根是______.