题目内容
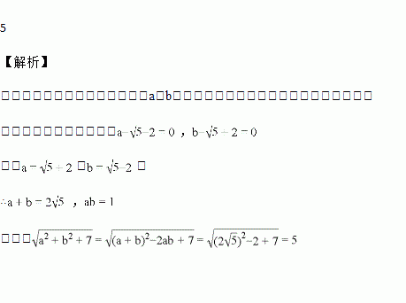
已知求的值。
在﹣3x,6﹣a=2,4ab2,0,,,>,x中,是整式的共有( )
A. 7个 B. 6个 C. 5个 D. 4个
平面直角坐标系中,四边形ABCD的顶点坐标分别是A(-3,0),B(0,2),C(3,0),D(0,-2),则四边形ABCD是( )
A. 矩形 B. 菱形 C. 正方形 D. 平行四边形
如图是护士统计一位甲型H1N1流感疑似病人的体温变化图,这位病人在16时的体温约是( )
A. 37.8℃ B. 38℃ C. 38.7℃ D. 39.1℃
当x=0时,函数y=2x2+1的值是( )
A. 1 B. 0 C. 3 D. -1
计算:=________.
下列各数中,与的积为无理数的是( )
A. B. C. D.
如图,直线l1、l2被直线l3、l4所截,下列条件中,不能判断直线l1∥l2的是( )
A. ∠1=∠3 B. ∠5=∠4 C. ∠5+∠3=180° D. ∠4+∠2=180°
如图,DE是三角形ABC的边AB的垂直平分线,分别交AB、BC于D、E,AE平分∠BAC,若∠B=30度,则∠C=________ 度.