题目内容
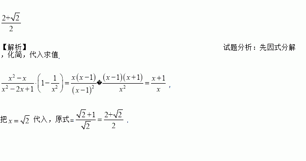
先化简,再求值: ,其中.
如图, 为数轴的原点, 两点分别对应,作腰长为4的等腰⊿,连接,以为圆心, 为半径画弧交数轴于点,则点对应的实数为 ________ .
如图,直线y=k1x+b与双曲线y=相交于A(1,2)、B(m,-1)两点.
(1)求直线和双曲线的解析式;
(2)若A1(x1,y1)、A2(x2,y2)、A3(x3,y3)为双曲线上的三点,且x1<x2<0<x3,请直接写出y1、y2、y3的大小关系式;
(3)观察图象,请直接写出不等式k1x+b>的解集.
当a≠0时,函数y=ax+1与函数在同一坐标系中的图象可能是( )
A.
B.
C.
D.
如图,AB是⊙O的直径,弦DE垂直平分半径OB,垂足为M,DE=4,连接AD,过E作AD平行线交AB延长线于点C.
(1)求⊙O的半径;
(2)求证:CE是⊙O的切线;
(3)若弦DF与直径AB交于点N,当∠DNB=30°时,求图中阴影部分的面积.
如图,将矩形绕点旋转至矩形位置,此时的中点恰好与点重合, 交于点.若=1,则矩形的面积为________.
已知一次函数的图象如图所示,则关于的不等式的解集为
A. B. C. D.
计算:
如图,在?ABCD中,E,F是对角线AC上的两点,且AE=CF.下列结论:①BE=DF;②BE∥DF;③AB=DE;④四边形EBFD为平行四边形;⑤S△ADE=S△ABE;⑥AF=CE.其中正确的个数是( )
A. 3个 B. 4个 C. 5个 D. 6个