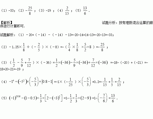
题目内容
计算
(1)﹣20+(﹣14)﹣(﹣14)﹣13 (2)﹣1.25×÷(﹣)×(﹣8)
(3)(﹣+)×(﹣36) (4)
(5)
如图所示,破残的圆形轮片上,弦AB的垂直平分线交弧AB于点C,交弦AB于点D.已知:AB=24cm,CD=8cm.
(1)求作此残片所在的圆(不写作法,保留作图痕迹)
(2)求残片所在圆的面积
若关于x的方程x2+mx+1=0有两个不相等的实数根,则m的值可以是( )
A. 0 B. ﹣1 C. 2 D. ﹣3
点A在直角坐标系中的坐标是(3,?4),则点A到y轴的距离是( )
A. 3 B. ?4 C. 4 D. -3
将图中的蜜蜂图象通过平移可得到的图是( )
A. B. C. D.
定义一种新运算:a*b=a+b-ab,如2*(-2)=2+(-2)-2(-2)=4,那么(-1)*2=_____.
如果某天的最高气温是5℃,最低气温是﹣3℃,那么日温差是_______℃.
把下列各数在数轴上表示,并从小到大的顺序用“<”连接起来.
+(﹣4),4,0,﹣|﹣2.5|,﹣(﹣3).
一个等腰三角形的两边长分别为2和5,则它的周长为( )
A. 7 B. 9 C. 12 D. 9或12