题目内容
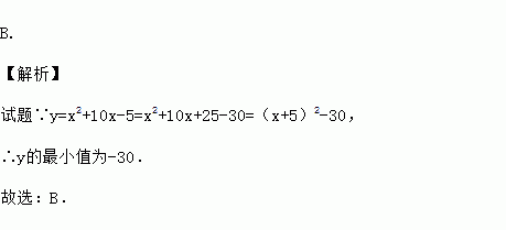
二次函数的最小值是( ).]
A.-35 B.-30 C.-5 D.20
如图,已知四边形ABCD是平行四边形,则下列结论中不正确的是( )
A. 当AB=BC时,四边形ABCD是菱形
B. 当AC⊥BD时,四边形ABCD是菱形
C. 当∠ABC=90°时,四边形ABCD是矩形
D. 当AC=BD时,四边形ABCD是正方形
抛物线是________对称图形,开口向________,顶点坐标是________,对称轴是________,与轴的交点为________.
抛物线的对称轴是( )
A. B. C. D.
二次函数,当时,随的增大而减小;当时,随的增大而增大,则当时,的值为( )
A.-7 B.1 C.17 D.25
由于被墨水污染,一道数学题仅能见到如下文字:
“已知二次函数的图象过点,…,求证:这个二次函数的图象关于直线对称.”
根据现有信息,题中的二次函数不具有的性质是( )
A. 过点 B. 顶点是 C. 在轴上截得的线段长是 D. 与轴的交点是
开口向上,顶点坐标为的抛物线为( )
若点与点关于y轴对称,则______.
如图,已知,且,请写出这对相似三角形对应角和对应边的比例式.