题目内容
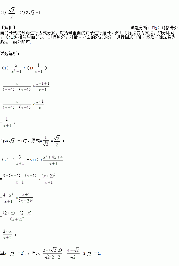
先化简,再求值:
(1) ÷(1+),其中x=﹣1.
(2)(﹣x+1)÷,其中x=﹣2.
一元二次方程的根的情况是( )
A. 两个实根和为5 B. 两个实根之积为7 C. 有两个相等的实数根 D. 没有实数根
如图1,在△ABC中,AB=AC,点D是BC的中点,点E在AD上,连接BE、CE.
(1)求证:BE=CE
(2)如图2,若BE的延长线交AC于点F,且BF ⊥AC,垂足为F,原题设其它条件不变.求证:∠CAD=∠CBF
(3)在(2)的条件下,若∠BAC=45,判断△CFE的形状,并说明理由.
如图,在△ABC中,∠ACB=90,∠A=30,BC=3cm,点D为AB的中点,则CD的值是( )
A. 3cm B. 4cm C. 5cm D. 6cm
某种秋冬流感病毒的直径约为0.000000308米,该直径用科学记数法表示为( )
A. 0.308米 B. 3.08米 C. 3.08米 D. 3.1米
若关于x的方程的解为正数,则m的取值范围是__.
(2016山东省潍坊市)若关于x的方程的解为正数,则m的取值范围是( )
A. m< B. m<且m≠ C. m> D. m>且m≠
如图,已知点A(2,2)是双曲线上一点,点B是双曲线上位于点A右下方的另一点,C是x轴上的点,且△ABC是以∠B为直角的等腰直角三角形,则点B的坐标是__________。
0.000608用科学记数法表示为 .