题目内容
先化简,再求值(1)(5a 3+3)-(1-2a)+3(3a-a 3),其中a=-1.(2),其中,y=-2.(3)已知A= 5x2+4x–1,B= –x2–3x+3,C= 8–7x–6x2,求A–B+C的值
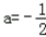
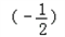
先化简,再求值:5a 2+2a+4a 2+2a,其中a= -;