题目内容
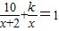
已知x=3是方程
【答案】分析:根据方程的解的定义,把x=3代入原方程,得关于k的一元一次方程,再求解可得k的值.
解答:解:把x=3代入方程
,得
,
解得k=-3.
故应填:-3.
点评:本题主要考查了分式方程的解的定义,属于基础题型.
解答:解:把x=3代入方程
解得k=-3.
故应填:-3.
点评:本题主要考查了分式方程的解的定义,属于基础题型.
练习册系列答案
相关题目
题目内容
已知x=3是方程