题目内容
如图,在一笔直的沿湖道路
上有
、
两个游船码头,观光岛屿
在码头
北偏东
的方向,在码头
北偏西
的方向,
.游客小张准备从观光岛屿
乘船沿
回到码头
或沿
回到码头
,设开往码头
、
的游船速度分别为
、
,若回到
、
所用时间相等,则
__________.(结果保留根号)
![]()
练习册系列答案
相关题目
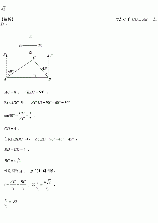
题目内容
如图,在一笔直的沿湖道路
上有
、
两个游船码头,观光岛屿
在码头
北偏东
的方向,在码头
北偏西
的方向,
.游客小张准备从观光岛屿
乘船沿
回到码头
或沿
回到码头
,设开往码头
、
的游船速度分别为
、
,若回到
、
所用时间相等,则
__________.(结果保留根号)
![]()