题目内容
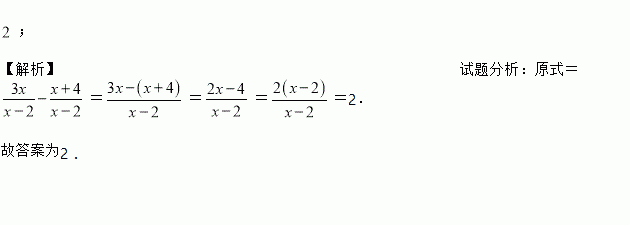
计算: 的结果是____.
把方程2(x﹣2)2=x(x﹣1)化为一元二次方程的一般形式为_____.
求证:三角形一条边的两个端点到这条边上的中线所在的直线的距离相等.
点关于轴的对称点在( ).
A. 第一象限 B. 第二象限 C. 第三象限 D. 第四象限
已知,若,求的值.
如果是一个完全平方式,则的值是( ).
A. B. C. D.
下列运算中正确的是( ).
如图,△ABC绕点A顺时针旋转80°得到△AEF,若∠B=100°,∠F=50°,则∠α的度数是________.
在△ABC中,AB=AC,BC=12,E为边AC的中点,
(1)如图1,过点E作EH⊥BC,垂足为点H,求线段CH的长;
(2)作线段BE的垂直平分线分别交边BC、BE、AB于点D、O、F.
①如图2,当∠BAC=90°时,求BD的长;
②如图3,设tan∠ACB=x,BD=y,求y与x之间的函数表达式和tan∠ACB的最大值.