题目内容
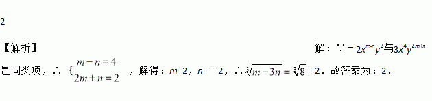
若﹣2xm﹣ny2与3x4y2m+n是同类项,则m﹣3n的立方根是___.
中国倡导的“一带一路”建设将促进我国与世界各国的互利合作.根据规划,“一带一路”地区覆盖总人口约为4400000000人,这个数用科学记数法表示为 ( )
A. B. C. D.
将一张长方形的纸对折,如图所示,可得到一条折痕(图中虚线),继续对折,对折时每次折痕与上次的折痕保持平行,连续对折三次后,可以得到7条折痕,那么如果对折四次,可以得到 条折痕,对折n次可以得到 条折痕.
一块均匀的不等边三角形的铁板,它的重心在( )
A. 三角形的三条角平分线的交点 B. 三角形的三条高线的交点
C. 三角形的三条中线的交点 D. 三角形的三条边的垂直平分线的交点
已知实数x、y满足,求2x﹣的立方根.
,则x与y的关系是 ( )
A. x+y≠0 B. x与y相等
C. x与y互为相反数 D.
下列说法错误的有 ( )
①1的平方根是1;
②1的立方根是1;
③-1的立方根是-1;
④27的立方根是±3;
⑤的立方根是+4;
⑥(-1)2的立方根是-1.
A. 3个 B. 4个 C. 5个 D. 6个
下列语句中,不是命题的是( )
A. 两点之间线段最短 B. 连接A,B两点
C. 平行于同一直线的两直线平行 D. 相等的角都是直角
由x<y得到ax>ay,则a的取值范围是 .