题目内容
已知梯形ABCD内接于⊙O,梯形的上、下底边的长分别是12cm和16cm,⊙O的半径是10cm,则梯形ABCD的高是 .
【答案】分析:梯形ABCD在⊙O中的位置有两种情况,梯形的上、下底边在圆心O的同旁或两旁.
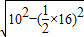
解答:解:圆心O到梯形上底边的距离d1=
=8cm,
圆心O到梯形下底边的距离d2=
=6cm,
(1)若梯形的上、下底边在圆心O的同旁,则d=d1-d2=2,即梯形ABCD的高是2cm;
(2)若梯形的上、下底边在圆心O的两旁,则d=d1+d2=14,即梯形ABCD的高是14cm.
点评:求梯形的高时应注意分两种情况进行讨论.
解答:解:圆心O到梯形上底边的距离d1=
圆心O到梯形下底边的距离d2=
(1)若梯形的上、下底边在圆心O的同旁,则d=d1-d2=2,即梯形ABCD的高是2cm;
(2)若梯形的上、下底边在圆心O的两旁,则d=d1+d2=14,即梯形ABCD的高是14cm.
点评:求梯形的高时应注意分两种情况进行讨论.
练习册系列答案
相关题目