题目内容

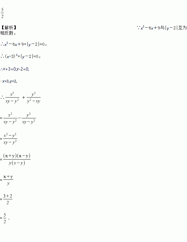
若x2-6x+9与|y-2|互为相反数,则的值为__.

【解析】∵x2-6x+9与|y-2|互为相反数, ∴x2-6x+9+|y-2|=0, ∴(x-3)2+|y-2|=0, ∴x+3=0,y-2=0, ∴x=3,y=2, ∴+ = = = = = =.
练习册系列答案
相关题目

解下列方程:

(1)1﹣ (2)

(1) ;(2)x=-5 【解析】试题分析:先去分母,把分式方程转化为整式方程,然后按照整式方程的解法求解,求出未知数的值后要验根. 【解析】 (1)去分母得:x2﹣25﹣x﹣5=x2﹣5x, 解得:x=, 经检验x=是分式方程的解; (2)去分母得:3x+3﹣2x+3=1, 解得:x=﹣5, 经检验x=﹣5是分式方程的解.

“五一”江北水城文化旅游节期间,几名同学包租一辆面包车前去旅游,面包车的租价为180元,出发时又增加了两名同学,结果每个同学比原来少摊了3元钱车费,设参加游览的同学共x人,应该如何列出方程?(不用求解,只列出即可)

【解析】分析:设原来参加游览的同学共x人,面包车的租价为180元,出发时又增加了两名同学,结果每个同学比原来少摊了3元钱车费,可列方程. 本题解析:设参加游览的同学共x人,那么出发前为x—2人, 根据题意可以得出

下面是分式方程的是( )

A. B.

C. D.

D 【解析】A、不是方程,故本选项错误; B、分母中不含有未知数,是整式方程,故本选项错误; C、分母中不含有未知数,是整式方程,故本选项错误; D、分母中含有未知数,是分式方程,故本选项正确. 故选D.

已知(x-3)2与2|y-2|互为相反数,试求的值.

【解析】试题分析:先根据相反数的意义及偶次方和绝对值的非负性,求出x和y的值,然后把所给代数式按照同分母分式的运算法则化简,然后再点入求值. 【解析】 ∵(x-3)2与2|y-2|互为相反数, ∴(x-3)2+2|y-2|=0, ∴x-3=0,y-2=0, ∴x=3,y=2, ∴++ =-+ =- = = = =

,则的值为( )

A. B. C. 2 D. 4

B 【解析】++ =-+ = = =. ∵=, ∴设a=5k,b=3k, ∴原式==. 故选B.

化简: =___.

-1 【解析】试题解析:原式 故答案为:

等腰三角形的对称轴是______.

顶角平分线所在直线 【解析】一个图形沿一条直线对折,直线两旁的部分能够完全重合,那么这个图形就是轴对称图形,这条直线就是这个图形的一条对称轴,如图所示:等腰三角形的对称轴是顶角平分线所在直线. 故答案是:顶角平分线所在直线.

如图,有一个长为24米的篱笆,一面利用墙(墙的最大可用长度为10米)围成中间隔有一道篱笆的长方形花圃.设花圃的宽AB为x米,面积为S平方米.

(1)求S与x的函数关系式及x的取值范围;

(2)如果要围成面积为45平方米的花圃,那么AB的长为多少米?

(1)S=-3x2+24x(≤x<8);(2)5米 【解析】试题分析: (1)可先用x表示出BC的长,然后根据矩形的面积=长×宽,得出S与x的函数关系式.根据墙的最大可用长度为10米求出自变量的取值范围; (2)根据(1)的函数关系式,将S=45代入其中,求出x的值即可. 试题解析: 【解析】 (1)由题可知,花圃的宽AB为x米,则BC为(24-3x)米. 这...

违法和不良信息举报电话:027-86699610 举报邮箱:58377363@163.com

精英家教网