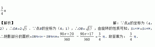
题目内容
如图,已知,将绕着点O逆时针旋转,得到,则图中阴影部分的面积为__________.
如图,已知⊙O的直径AB的长为4cm,C是⊙O上一点,∠BAC=30°,过点C作⊙O的切线交AB的延长线于点P,求BP的长.
小明同学骑自行车去郊外春游,如图表示他离家的距离y(千米)与所用的时间x(小时)之间的函数关系图像.根据图像回答下列问题:
(1)小明到达离家最远的地方需________小时,此时离家________千米;
(2)小明出发2个小时后离家________千米;
(3)小明出发________小时后离家12千米.
为了解小学生的体能情况,抽取了某小学同年级50名学生进行1分钟跳绳测试,将所得数据整理后,画出如图所示的频数分布直方图(各组只含最小值,不含最大值).已知图中从左到右各组的频率分别是a,0.3,0.4,0.2,设跳绳次数不低于100次的学生有b人,则a,b的值分别是( )
A. 0.2,30 B. 0.3,30
C. 0.1,20 D. 0.1,30
如图, 的直径AB的长为10,弦AC的长为的平分线交于点D.
求BC的长; 求弦BD的长.
已知的半径为的半径长,如果,那么与不可能存在的位置关系是
A. 两圆内含 B. 两圆内切 C. 两圆相交 D. 两圆外切
某校为了开展“阳光体育”活动,购进一批体育用品.经了解,长绳的单价比短绳的单价多5元,用12000元购进的长绳与用8000元购进的短绳的数量相等.问购进的长绳和短绳的单价分别是多少元?
计算:(2a﹣b)(a+3b)=_____.
如图,矩形ABCD中,E是BC的中点,连接AE,过点E作EF⊥AE交DC于点F,连接AF.设=k,下列结论:(1)△ABE∽△ECF,(2)AE平分∠BAF,(3)当k=1时,△ABE∽△ADF,其中结论正确的是( )
A.(1)(2)(3) B.(1)(3) C.(1)(2) D.(2)(3)