题目内容
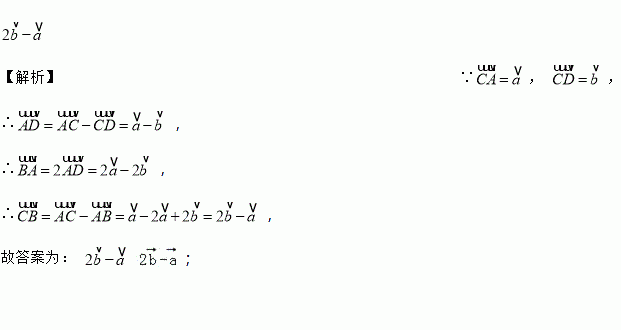
如图,在△ABC中,点D是边AB的中点.如果, ,那么_____(结果用含、的式子表示).
计算:(﹣)﹣3+ +2sin45°+()0= .
如图,水坝的横断面是梯形,背水坡AB的坡角∠BAD=60°,坡长AB=20 m,为加强水坝强度,将坝底从A处向后水平延伸到F处,使新的背水坡的坡角∠F=45°,求AF的长度.
若反比例函数的图象经过点(-5,2),则的值为 ( ).
A. 10 B. -10 C. -7 D. 7
计算: ﹣(﹣2)0+|1﹣|+2cos30°.
如果关于x的一元二次方程x2+2x﹣a=0没有实数根,那么a的取值范围是__.
如果一次函数y=kx+b的图象经过一、二、三象限,那么k、b应满足的条件是( )
A. k>0,且b>0 B. k<0,且b<0
C. k>0,且b<0 D. k<0,且b>0
如图,是两个各自分割均匀的转盘,同时转动两个转盘,转盘停止时(若指针恰好停在分割线上,那么重转一次,直到指针指向某一区域为止),两个指针所指区域的数字和为偶数的概率是( )
A. B. C. D.
从-1,1,2这三个数字中,随机抽取一个数记为a,那么,使关于x的一次函数y=2x+a的图象与x轴、y轴围成的三角形的面积为,且使关于x的不等式组有解的概率为________.