题目内容
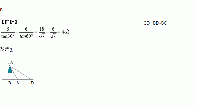
如图所示,平地上一棵树高为6米,两次观察地面上的影子,第一次是当阳光与地面成时,第二次是阳光与地面成时,第二次观察到的影子比第一次长()
A. B. C. D.
如图为平面上五条直线L1,L2,L3,L4,L5相交的情形,根据图中标示的角度,判断下列叙述何者正确( )
A. L1和L3平行,L2和L3平行
B. L1和L3平行,L2和L3不平行
C. L1和L3不平行,L2和L3平行
D. L1和L3不平行,L2和L3不平行
不等式组的解为_____________.
如图,△ABC中,∠ABC=60°,AB=2,BC=3,AD⊥BC垂足为D.求AC长.
如图,放置的, , ,…都是边长为2的等边三角形,边在轴上,点, , ,…都在直线上,则的坐标是( )
A. (2017,2017) B. (2017,2017)
C. (2017,2018) D. (2017,2019)
小强和小明两个同学设计一种同时抛出两枚1元硬币的游戏,游戏规则如下:如果抛出的硬币落下后朝上的两个面都为1元,则小强得1分,其余情况小明得1分,谁先得到10分谁就赢得比赛。你认为这个游戏规则公平吗?若不公平,怎样改正?
某射击运动员在相同的条件下的射击成绩记录如下:
根据频率的稳定性,估计这名运动员射击一次“射中9环以上”的概率是________.
抛物线y=-x2+2x+3与x轴相交于A.B两点(点A在B的左侧),与y轴相交于点C,顶点为D.
(1)直接写出A,B,C三点的坐标和抛物线的对称轴;
(2)连接BC,与抛物线的对称轴交于点E,点P为线段BC上的一个动点,过点P作PF//DE交抛物线于点F,设点P的横坐标为m:
①用含m的代数式表示线段PF的长,并求出当m为何值时,四边形PEDF为平行四边形?
②设△BCF的面积为S,求S与m的函数关系式.
如果方程组有唯一的一组解,那么a,b,c的值应当满足( )
A. a=1,c=1 B. a≠b C. a=b=1,c≠1 D. a=1,c≠1