题目内容
若,则 = ________ .
下列关于向量的说法中,不正确的是( )
A.
B.
C.若,则或
D.
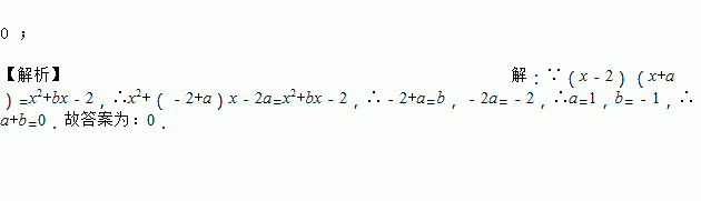
若a、b为实数,且b=+4,则a+b的值为__.
古希腊数学家把“数”当作“形”来研究,他称下面一些数为“三角形数”(如下图),第1个“三角形数”是1,第,2个“三角形数”是3,第3个“三角形数”是6,第4个“三角形数”是10,…… ;按此规律,第50个“三角形数”是 _______ .
如图,在⊿中,,点在边上,; ,则等于 _______ .
不等式有多种解法,其中有一种方法如下,在同一直角坐标系中做出和的图像然后进行求解,请类比求解以下问题:
设a,b为整数,若对任意x≤0,都有成立,则a+b=________.
若的立方根是A, 的算术平方根为B,则A+B=________.
2 sin 60°的值等于( )
A. 1 B. C. D.
如图,在菱形ABCD中,E,F分别是AD,BD的中点,若EF=2,则菱形ABCD的周长是__.