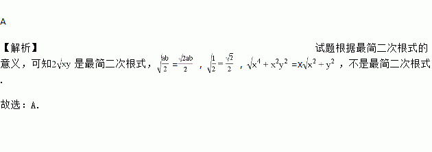
题目内容
下列二次根式中,是最简二次根式的是( ).
A. B. C. D.
如图,某班上体育课,甲、乙两名同学分别站在点C,D的位置时,乙的影子恰好在甲的影子里边,已知甲身高1.8米,乙身高1.5米,甲的影长是6米,则甲、乙同学相距____米.
若关于x的方程ax2+2(a+2)x+a=0有实数解,那么实数a的取值范围是 ▲ .
若实数满足,则的值是
下列各式计算正确的是( )
A. B.
C. D.
已知直角三角形的面积为,其中一直角边长,求另一条直角边的长.
若,则________.
为配合“一带一路”国家倡议,某铁路货运集装箱物流园区正式启动了2期扩建工程一项地基基础加固处理工程由2、8两个工程公司承担建设,己知2工程公司单独建设完成此项工程需要180天工程公司单独施工天后,工程公司参与合作,两工程公司又共同施工天后完成了此项工程.
(1)求工程公司单独建设完成此项工程需要多少天?
(2)由于受工程建设工期的限制,物流园区管委会决定将此项工程划包成两部分,要求两工程公司同时开工,工程公司建设其中一部分用了天完成,工程公司建设另一部分用了天完成,其中,均为正整数,且,,求、两个工程公司各施工建设了多少天?
下列各组数是二元一次方程的解是( )