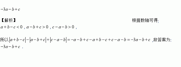
题目内容
如图,化简____________.
某公司计划2016年在甲、乙两个电视台播放总时长为300分钟的广告,已知甲、乙两电视台的广告收费标准分别为500元/分钟和200元/分钟,该公司的广告总费用为9万元.预计甲、乙两个电视台播放该公司的广告能给该公司分别带来0.3万元/分钟和0.2万元/分钟的收益,该公司在甲、乙两个电视台播放广告的时长应分别为多少分钟?预计甲、乙两电视台2016年为此公司所播放的广告将给该公司带来多少万元的总收益?
如图是由3个相同的正方体组成的一个立体图形,它的三视图是( )
A. B. C. D.
如图,菱形ABCD的对角线AC,BD相交于点O,AC=6,BD=8,动点P从点B出发,沿着B-A-D在菱形ABCD的边上运动,运动到点D停止,点P′是点P关于BD的对称点,PP′交BD于点M,若BM=x,△OPP′的面积为y,则y与x之间的函数图象大致为( )
中国倡导的“一带一路”建设将促进我国与世界各国的互利合作,根据规划,“一带一路”地区覆盖总人口约为4400000000人,这个数用科学记数法表示为( )
A. 44×108 B. 4.4×109 C. 4.4×108 D. 4.4×1010
已知关于的方程与的解互为倒数,求的值.
下面是按一定规律排列的一列数: , , , , …,那么第个数是__.
我们可以用符号f(a)表示代数式,a是正整数.我们规定:当a为奇数时,f(a)=3a+1,当a为偶数时,f(a)=a.例如:f(1)=3×1+1=4,f(10)=×10=5.设a1=4,a2=f(a1),a3=f(a2),……,a2015=f(a2014),a2016=f(a2015).依此规律,则a2017=__________.
下列调查中,最适合用普查方式的是( )
A. 了解全市高三年级学生的睡眠质量 B. 了解我校同学对国家设立雄安新区的看法
C. 对端午出游旅客上飞机前的安全检查 D. 对电影“摔跤吧,爸爸”收视率的调查