小明解方程=1的过程如下:

【解析】
方程两边乘x,得1-(x-2)=1.①

去括号,得1-x-2=1.②

移项,得-x=1-1+2.③

合并同类项,得-x=2.④

解得x=-2.⑤

所以,原分式方程的解为x=-2.⑥

请指出他解答过程中的错误,并写出正确的解答过程.

见解析 【解析】试题分析:去分母时,注意是否每一项都乘以x,去括号,移项时,注意符合的变化;最后注意分式方程一定要检验方程的解。 【解析】 小明的解法有三处错误,步骤①去分母有误; 步骤②去括号有误;步骤⑥少检验. 正确解法为:方程两边乘x,得1-(x-2)=x. 去括号,得1-x+2=x. 移项,得-x-x=-1-2. 合并同类项,得-2x=-3. 解...

若分式的值为0,则x的值是(  )

A. B. C. D.

A 【解析】根据题意可得: =0,方程两边同时乘以(x+4)得:x-3=0,解得:x=3;检验:将x=3代入x+4=7≠0,故x=3为原方程的解。 故本题正确答案为A。

分式方程的解为( )

A. 2 B. 1 C. -1 D. -2

A 【解析】方程两边都乘2x-3,得 1=2x-3, 解得x-=2. 检验:当x=2时,2x-3≠0. ∴x=2是原方程的解. 所以A选项是正确的.

化简等于( )

A. B. C. ﹣ D. ﹣

B 【解析】试题分析:原式=====,故选B.

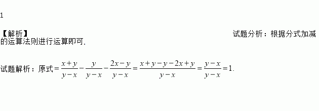
计算:

1 【解析】试题分析:根据分式加减的运算法则进行运算即可. 试题解析:原式

在△ABC中,与∠A相邻的外角是100°,要使△ABC是等腰三角形,则∠B的度是_________.

80°或50°或20° 【解析】∵∠A的相邻外角是100°,∴∠A=80°. 分两种情况: (1)当∠A为底角时,另一底角∠B=∠A=80°; (2)当∠A为顶角时,则底角∠B=∠C= (180°?80°) =50° (3)当∠B是顶角时,∠B=180°-2∠A=20°. 综上所述,∠B的度数是80°或50°或20°.

三角形中到三边距离相等的点是(  )

A. 三条边的中垂线交点 B. 三条高交点

C. 三条中线交点 D. 三条角平分线的交点

D 【解析】由角平分线的性质不难得出三角形中到三边距离相等的点是三条角平分线的交点. 故选D.

违法和不良信息举报电话:027-86699610 举报邮箱:58377363@163.com

精英家教网