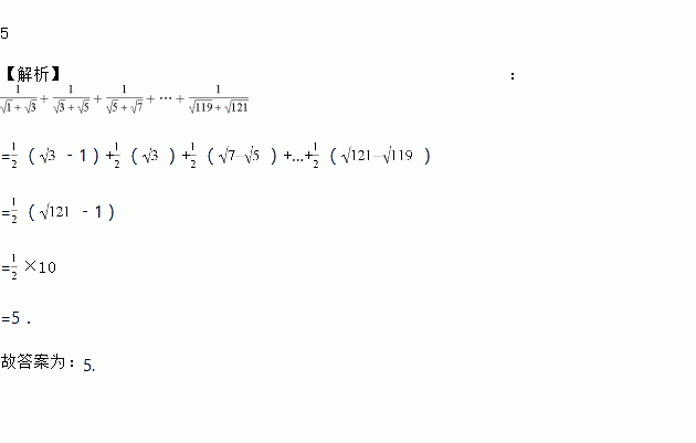
题目内容
计算:=_____.
求二次函数的顶点坐标,并说出此函数的两条性质.
若x,y为实数,且,求的值.
下列二次根式中,最简二次根式是( )
A. B. C. D.
“创卫工作人人参与,环境卫生人人受益”,我区创卫工作已进入攻坚阶段.某校拟整修学校食堂,现需购买A、B两种型号的防滑地砖共60块,已知A型号地砖每块40元,B型号地砖每块20元.
(1)若采购地砖的费用不超过1600元,那么,最多能购买A型号地砖多少块?
(2)某地砖供应商为了支持创卫工作,现将A、B两种型号的地砖单价都降低a%,这样,该校花费了1280元就购得所需地砖,其中A型号地砖a块,求a的值.
下列各式变形中,不正确的是( )
A. x4•x3=x7 B. =|x| C. (x2﹣)÷x=x﹣1 D. x2﹣x+1=(x﹣)2+
如图,一次函数的图象与两坐标轴分别交于A,B两点,P是线段AB上任意一点(不包括端点),过P分别作两坐标轴的垂线与两坐标轴围成的矩形的周长是( )
A. 5 B. 7.5 C. 10 D. 25
如图,下列条件:中能判断直线的有
A. 5个 B. 4个 C. 3个 D. 2个
计算:.