题目内容
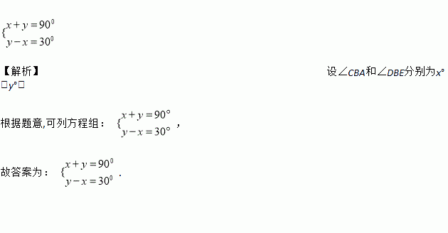
小东将书折过来,该角顶点A落在F处,BC为折痕,如图所示,若DB平分∠FBE,∠DBE比∠CBA大30°,设∠CBA和∠DBE分别为x°、y°,那么可求出这两个角的度数的方程组是________.
已知点A(-1,3)与点B(4,3),则这两点间的距离为( )
A. 3 B. 4 C. 5 D. 6
如图母亲节那天很多同学给妈妈准备了鲜花和礼物,从图中信息可知则买5束鲜花 和5个礼盒的总价为 元.
已知关于x,y的方程组的解为3x+2y=14的一个解,那么m的值为( ).
A. 1 B. -1 C. 2 D. -2
解方程组
(1)
(2)
已知x,y满足方程组,则无论m取何值,x,y恒有关系式是( )
A. x+y=1 B. x+y=-1 C. x+y=9 D. x+y=-9
已知方程组的解满足x+y<0,求m的取值范围.
一个不等式组的解集在数轴上表示出来如图所示,则下列符合条件的不等式组为( )
A. B.
C. D.
已知10a=5,10b=6,求:
(1)的值;
(2)的值