题目内容
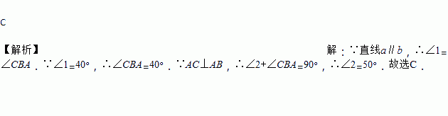
如图,直线a||b,直线l与a,b分别相交于A,B两点,AC⊥AB交b于点C,∠1=40°,则∠2的度数是( )
A. 40° B. 45° C. 50° D. 60°
如图,若∠1=50°,则∠2的度数为( )
A. 30° B. 40° C. 50° D. 90°
李明去参加聚会,每两人都互相赠送礼物,他发现共送礼物20件,若设有n人参加聚会,根据题意可列出方程为( )
A. =20 B. n(n﹣1)=20 C. =20 D. n(n+1)=20
如图,AC是矩形ABCD的对角线,AB=2,BC=,点E、F分别是线段AB,AD上的点,连接CE,CF,当∠BCE=∠ACF,且CE=CF时,AE+AF=______.
如图,正方形ABCD的对角线AC,BD相交于点O,AB=,E为OC上一点,OE=1,连接BE,过点A作AF⊥BE于点F,与BD交于点G,则BF的长是( )
A. B. C. D.
定义:我们把三角形被一边中线分成的两个三角形叫做“友好三角形”.
性质:如果两个三角形是“友好三角形”,那么这两个三角形的面积相等.
理【解析】如图①,在△ABC中,CD是AB边上的中线,那么△ACD和△BCD是“友好三角形”,并且S△ACD=S△BCD.
应用:如图②,在矩形ABCD中,AB=4,BC=6,点E在AD上,点F在BC上,AE=BF,AF与BE交于点O.
(1)求证:△AOB和△AOE是“友好三角形”;
(2)连接OD,若△AOE和△DOE是“友好三角形”,求四边形CDOF的面积.
探究:在△ABC中,∠A=30°,AB=4,点D在线段AB上,连接CD,△ACD和△BCD是“友好三角形”,将△ACD沿CD所在直线翻折,得到△A′CD,若△A′CD与△ABC重合部分的面积等于△ABC面积的,请直接写出△ABC的面积.
计算:
(1) ;
(2);
(3).
要反映无锡市一周内每天的最高气温的变化情况,宜采用 ( )
A. 折线统计图 B. 扇形统计图 C. 条形统计图 D. 频数分布直方图
如图是抛物线y=ax2+bx+c(a≠0)的部分图象,其顶点坐标为(1,n),且与x轴的一个交点在点(3,0)和(4,0)之间.则下列结论:①a-b+c>0;②3a+b=0;③b2=4a(c-n);④一元二次方程ax2+bx+c=n-1有两个不相等的实数根.其中正确结论的个数是( )
A. 1 B. 2 C. 3 D. 4