题目内容
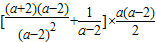
先化简,再求值:
【答案】分析:利用方程解的定义找到相等关系a2+3a=-1,再把所求的代数式化简后整理成a2+3a的形式,整体代入a2+3a=-1,即可求解.
解答:解:原式=
(3分)
=
(4分)
=
=
;(5分)
∵a是方程x2+3x+1=0的根,
∴a2+3a+1=0,(6分)
∴a2+3a=-1,(8分)
∴原式=
.(9分)
点评:主要考查了方程解的定义和分式的运算.此类题型的特点是,利用方程解的定义找到相等关系,再把所求的代数式化简后整理出所找到的相等关系的形式,再把此相等关系整体代入所求代数式,即可求出代数式的值.
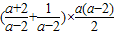
解答:解:原式=
=
=
=
∵a是方程x2+3x+1=0的根,
∴a2+3a+1=0,(6分)
∴a2+3a=-1,(8分)
∴原式=
点评:主要考查了方程解的定义和分式的运算.此类题型的特点是,利用方程解的定义找到相等关系,再把所求的代数式化简后整理出所找到的相等关系的形式,再把此相等关系整体代入所求代数式,即可求出代数式的值.
练习册系列答案
相关题目