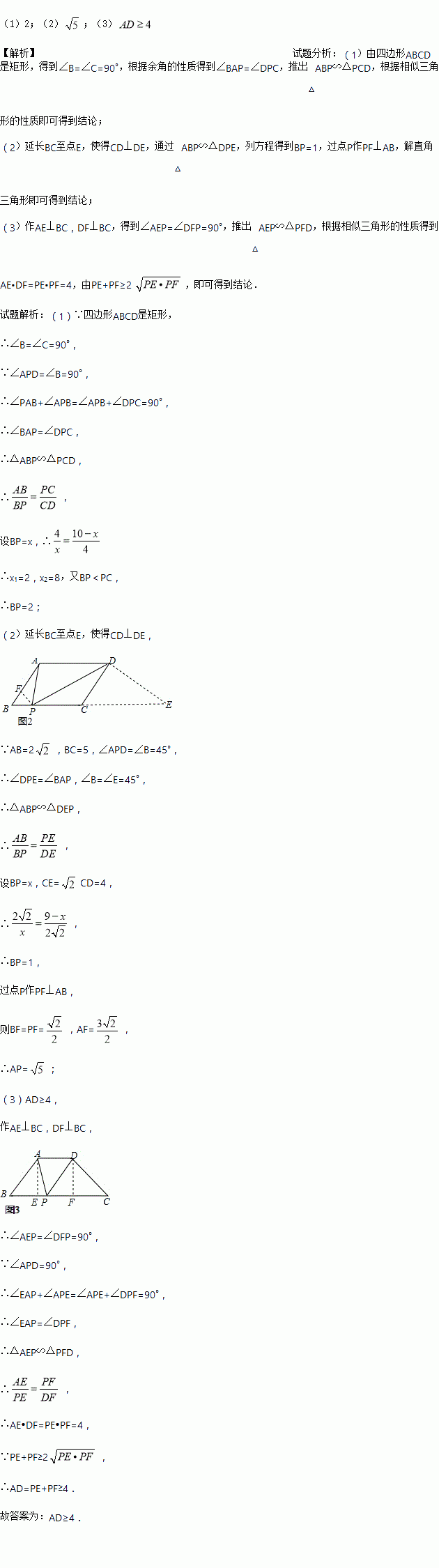
题目内容
(1)如图1,在矩形ABCD中,点P为边BC上一点,且
,
,求BP的长;
(2)如图2,在平行四边形ABCD中,
,求
的长;
![]()
(3)如图3,在四边形ABCD中,AD∥BC,
,
,在BC边上存在一点P,使得
,则边
的长满足的条件为 。(请直接写出结果)
![]()
练习册系列答案
相关题目
题目内容
(1)如图1,在矩形ABCD中,点P为边BC上一点,且
,
,求BP的长;
(2)如图2,在平行四边形ABCD中,
,求
的长;
![]()
(3)如图3,在四边形ABCD中,AD∥BC,
,
,在BC边上存在一点P,使得
,则边
的长满足的条件为 。(请直接写出结果)
![]()