题目内容
某工程队承包了某标段全长1755米的过江隧道施工任务,甲、乙两个班组分别从东、西两端同时掘进,已知甲组比乙组平均每天多掘进0.6米,经过5天施工,两组共掘进了45米。
(1)求甲、乙两个班组平均每天各掘进多少米?
(2)为加快工程进度,通过改进施工技术,在剩余的工程中,甲组平均每天能比原来多掘进0.2米,乙组平均每天能比原来多掘进0.3米,按此旄工进度,能够比原来少用多少天完成任务?
(1)求甲、乙两个班组平均每天各掘进多少米?
(2)为加快工程进度,通过改进施工技术,在剩余的工程中,甲组平均每天能比原来多掘进0.2米,乙组平均每天能比原来多掘进0.3米,按此旄工进度,能够比原来少用多少天完成任务?
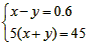
解:(1)设甲、乙班组平均每天掘进x米,y米,得,
,解得
∴甲班组平均每天掘进4.8米,乙班组平均每天掘进4.2米;
(2)设按原来的施工进度和改进施工技术后的进度分别还需a,b天填完成任务,
则a=(1755-45)÷(4.8+4.2)=190(天),
b=(1755-45)÷(4.8+4.2+0.3+0.3)=180(天),
∴a-b=10(天),
∴少用10天完成任务。
∴甲班组平均每天掘进4.8米,乙班组平均每天掘进4.2米;
(2)设按原来的施工进度和改进施工技术后的进度分别还需a,b天填完成任务,
则a=(1755-45)÷(4.8+4.2)=190(天),
b=(1755-45)÷(4.8+4.2+0.3+0.3)=180(天),
∴a-b=10(天),
∴少用10天完成任务。
练习册系列答案
相关题目