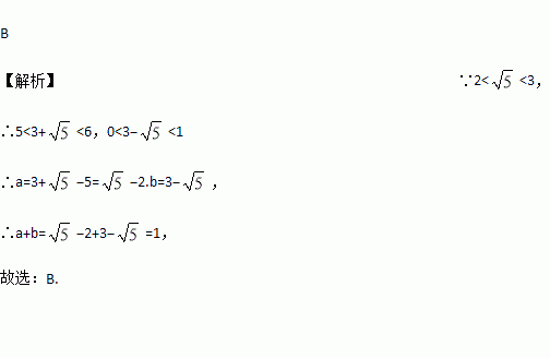
题目内容
若的小数部分是a, 的小数部分是b,则a+b的值为( )
A. 0 B. 1 C. -1 D. 2
已知y与2x+1成反比例,当x=1时,y=5.
(1)求这个函数的解析式;
(2)当y=3时,求x的值.
The average number of p,q,r is 4,and average number of p,q,r,x is﹣2,then x =________.
(英文词典:average number平均数)
分解因式:(1)2x3-2x;(2)
计算:2 015×2 017-2 0162=__________.
与1+最接近的整数是( )
A. 4 B. 3 C. 2 D. 1
若两个二次函数图像的顶点、开口方向都相同,则称这两个二次函数为“同簇二次函数”.
(1)请写出两个为“同簇二次函数”的函数;
(2)已知关于x的二次函数y1=2x2-4mx+2m2+1和y2=ax2+bx+5,其中y1的图像经过点A(1,1),若y1+y2与y1为“同簇二次函数”,求函数y2的表达式,并求出当
2≤x≤3时,y2的最小值.
如图,正方形ABCD的边长AB=4,分别以点A、B为圆心,AB长为半径画弧,两弧交于点E,则的长是( )
A. B. C. D.
如果以x=-5为方程的解构造一个一元一次方程,那么下列方程中不满足要求的是( )
A. x+5=0 B. x-7=-12
C. 2x+5=-5 D. =-1