题目内容
已知,则= .
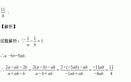
已知方程组则 .
先化简再求值: 其中x是不等式组的整数解.
从一副扑克牌中抽出如下四张牌,其中是中心对称图形的有( )
A. 1张 B. 2张 C. 3张 D. 4张
如图,BD平分∠ABC,DE⊥AB于E,DF⊥BC于F,AB=6,BC=8.若S△ABC=28,则DE= .
如图,OB、OC是∠ABC、∠ACB的角平分线,∠BOC=120°,则∠A=( )
A. 60° B. 120° C. 110° D. 40°
如图,CB=1,且OA=OB,BC⊥OC,则点A在数轴上表示的实数是( )
A. B. ﹣ C. D. ﹣
式子 在实数范围内有意义,则x的范围是___________.
解分式方程:
(1);
(2).