题目内容
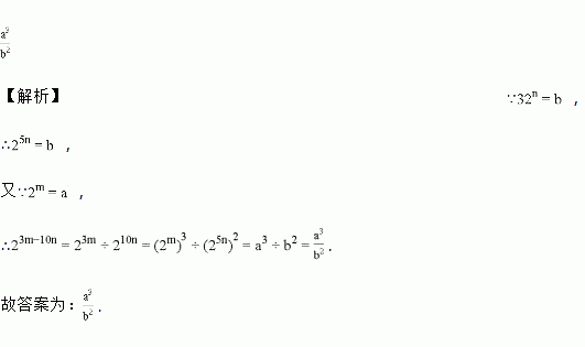
已知2m=a,32n=b,m,n是正整数,则用a,b的式子表示23m-10n=_________.
若,且,则______.
如图,四边形ABCD是正方形,P在CD上, 旋转后能够与重合,若AB=3,DP=1,求.
如图,下列四组条件中.不能判定四边形ABCD是平行四边形的是( )
A. AB=DC,AD=BC B. AB∥DC,AD∥BC C. AB∥DC,AD=BC D. AB∥DC,AB=DC
已知2a2+3a-6=0.求代数式3a(2a+1)-(2a+1)(2a-1)的值.
(x-y)3·(x-y)2·(x-y)4=________.
若25a2+(k﹣3)a+9是一个完全平方式,则k的值是( )
A. ±30 B. 31或﹣29 C. 32或﹣28 D. 33或﹣27
一个多项式除以3xy商为 ,则这个多项式是__________________
已知x2m=2,求(2x3m)2﹣(3xm)2的值.