题目内容
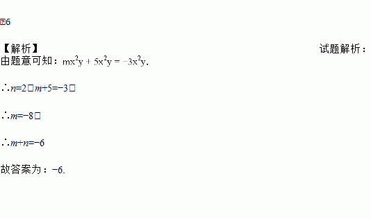
若单项式mx2y与单项式5xny的和是﹣3x2y,则m+n=_____.
在数轴上,到表示﹣1的点的距离等于6的点表示的数是( )
A. 5 B. ﹣7 C. 7或﹣5 D. 5或﹣7
如图,在△ABC中,AB=5,D、E分别是边AC和AB上的点,且∠ADE=∠B,DE=2,那么AD•BC=________.
关于x的一元二次方程x2﹣x+sinα=0有两个相等的实数根,则锐角α等于( )
A. 15° B. 30° C. 45° D. 60°
先化简再求值:5(3a2b﹣ab2)﹣2(ab2+3a2b),其中a=﹣,b=.
下列说法正确的是( )
A. 单项式﹣2πR2的次数是3,系数是﹣2
B. 单项式﹣的系数是3,次数是4
C. 不是多项式
D. 多项式3x2﹣5x2y2﹣6y4﹣2是四次四项式
在数轴上距离原点2个单位长度的点所表示的数是( )
A. 2 B. ﹣2 C. 2或﹣2 D. 1或﹣1
如图是用4个相同的小矩形与1个小正方形镶嵌而成的正方形图案,已知该图案的面积为49,小正方形的面积为4,若用x,y表示小矩形的两边长(x>y),请观察图案,指出以下关系式中,不正确的是( )
A. x+y=7 B. x-y=2 C. 4xy+4=49 D. x2+y2=25
用大小相同的小三角形摆成如图3所示的图案,按照这样的规律摆放,则第n个图案中共有小三角形_________个.