题目内容
如图①,△ABC中,BD平分∠ABC,且与△ABC的外角∠ACE的角平分线交于点D.
(1)若∠ABC=75°,∠ACB=45°,求∠D的度数;
(2)若把∠A截去,得到四边形MNCB,如图②,猜想∠D、∠M、∠N的关系,并说明理由.
![]()
练习册系列答案
相关题目
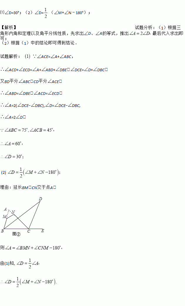
题目内容
如图①,△ABC中,BD平分∠ABC,且与△ABC的外角∠ACE的角平分线交于点D.
(1)若∠ABC=75°,∠ACB=45°,求∠D的度数;
(2)若把∠A截去,得到四边形MNCB,如图②,猜想∠D、∠M、∠N的关系,并说明理由.
![]()