题目内容
用计算器计算:
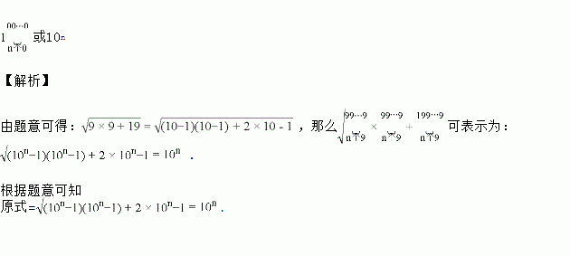
,,,…,请你猜测的结果为__________.
如图,已知∠B=90°,AB=2cm,BC=2cm,CD=3cm,AD=5cm,求四边形ABCD的面积.
如图,周董从A处出发沿北偏东60°方向行走至B处,又沿北偏西20°方向行走至C处,则∠ABC的度数是( )
A. 80° B. 90° C. 100° D. 95°
若等于3,则x等于( )
A. B. ﹣ C. 2 D. ﹣2
已知一个正数的两个平方根分别为a和2a-9.
(1)求a的值,并求这个正数;
(2)求17-9a2的立方根.
-的立方根是______,=______.
下列各组数中,互为相反数的是( )
A. -3与 B. |-3|与- C. |-3|与 D. -3与
画出下面实物的三视图:
顺次连接对角线相等的四边形的各边中点,所形成的四边形是
A. 平行四边形 B. 菱形 C. 矩形 D. 正方形