题目内容

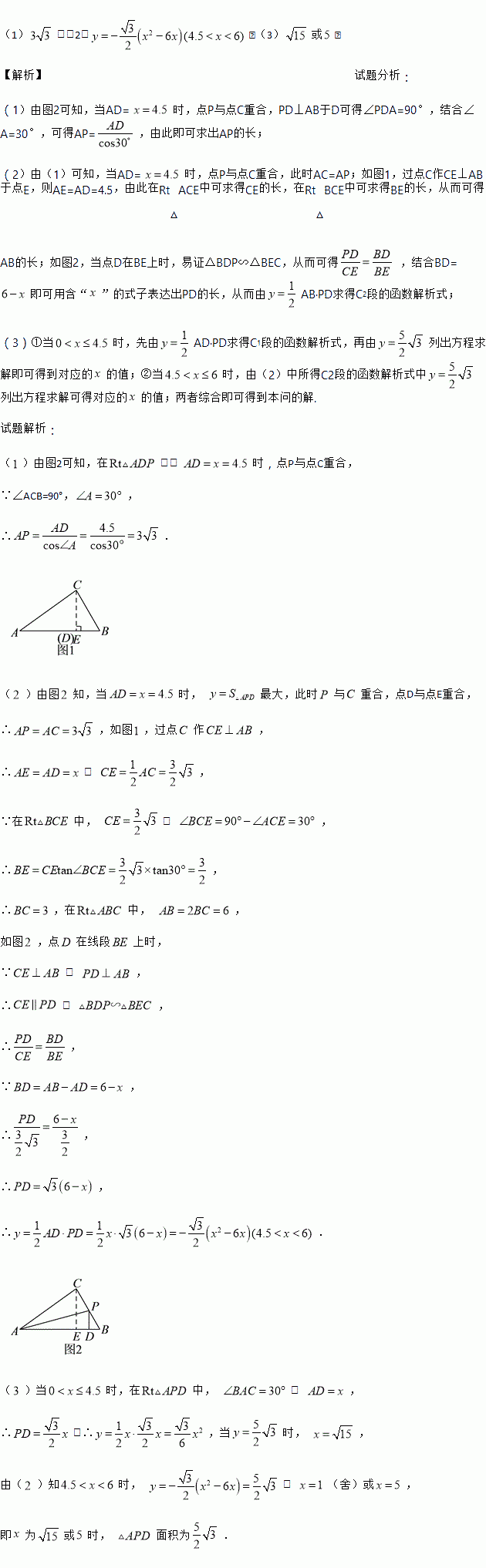
如图,在中, 上一个动点,过点交折线于点,设的长为的面积为关于函数图象两段组成,如图所示.

)当时,求的长.

)求图中的图象段的函数解析式.

)求为何值时, 的面积为

(1);(2);(3)或. 【解析】试题分析: (1)由图2可知,当AD= 时,点P与点C重合,PD⊥AB于D可得∠PDA=90°,结合∠A=30°,可得AP=,由此即可求出AP的长; (2)由(1)可知,当AD= 时,点P与点C重合,此时AC=AP;如图1,过点C作CE⊥AB于点E,则AE=AD=4.5,由此在Rt△ACE中可求得CE的长,在Rt△BCE中可求得BE的长,从而可...
练习册系列答案
相关题目

违法和不良信息举报电话:027-86699610 举报邮箱:58377363@163.com

精英家教网