题目内容
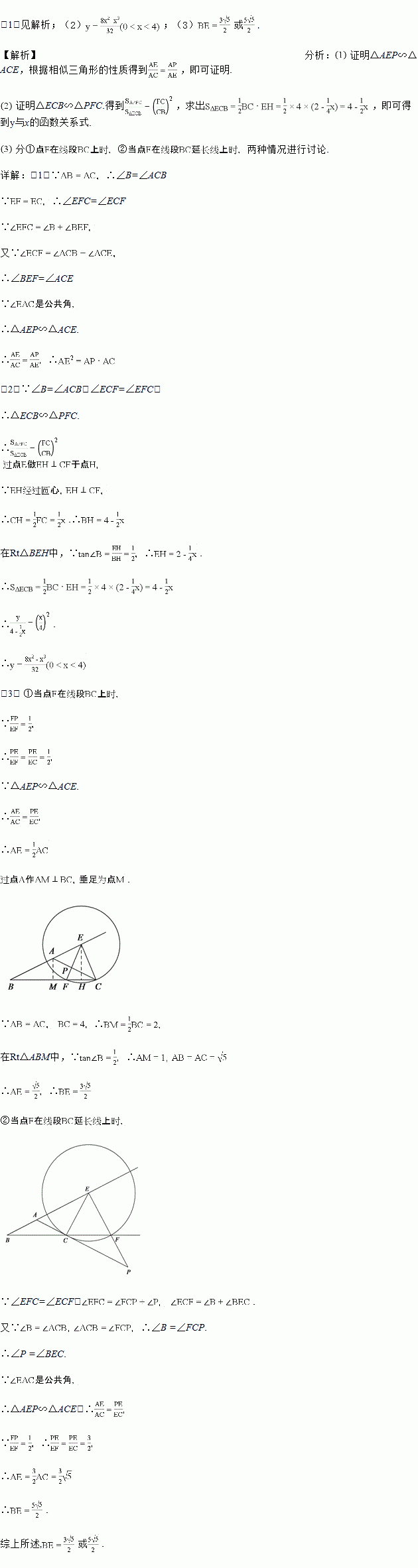
如图,△ABC中,AB=AC,tanB=
, BC=4,E为BA延长线上一点,⊙E过点C与射线BC的另一交点为F,射线EF与射线AC交于P
(1)求证:AE2=AP·AC
(2)当F点在线段BC上时,设CF=x,△PFC的面积为y,求y与x的函数关系式并写出x的取值范围
(3)当
时求BE
![]()
![]()
备用图
练习册系列答案
相关题目
某书店为了迎接“读书节”制定了活动计划,以下是活动计划书的部分信息:
“读书节”活动计划书 | ||
书本类别 | A类 | B类 |
进价(单位:元) | 18 | 12 |
备注 | 1.用不超过16800元购进A,B两类图书共1000本; 2.A类图书不少于600本; …… |
(1)陈经理查看计划数时发现:A类图书的标价是B类图书标价的1.5倍,若顾客用540元购买图书,能单独购买A类图书的数量恰好比单独购买B类图书的数量少10本,请求出A,B两类图书的标价;
(2)经市场调查后,陈经理发现他们高估了“读书节”对图书销售的影响,便调整了销售方案,A类图书每本标价降低a元(0<a<5)销售,B类图书价格不变,那么书店应如何进货才能获得最大利润?